Updated on 18/02/26 by Mananjay MahatoShare on WhatsApp

10T

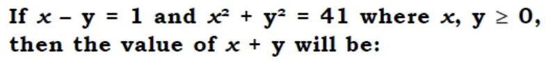
solve ?

  • 9
  • 8
  • 6
  • 7

solve ?

  • 2026
  • 2226
  • 1226
  • 2126

solve ?

  • 1
  • 0
  • 2
  • 4

solve ?

  • 7(a+ 3b)/6
  • 10a2 – 14ab
  • 5(a+ 3b)/6
  • (7a- 3b)/6

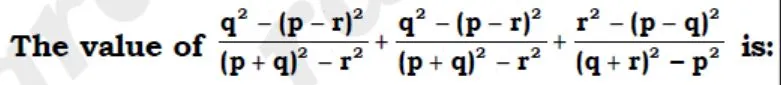
solve ?

  • 0
  • 1
  • 1/ab
  • ab

solve ?

  • 1.75
  • 2.00
  • 3.25
  • 2.50

solve ?

  • 1
  • 0
  • 2
  • 3

solve ?

  • 10a2 – 14ab
  • 8a2 – 10ab
  • 10a2 – 8ab
  • 10a2 + 14ab

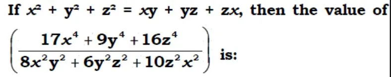
solve ?

  • 81
  • 64
  • 28
  • 36

solve ?

  • 32 1/7
  • 32 3/7
  • 32 4/7
  • 32 2/7

solve ?

  • 8/√10
  • 2/√10
  • 8/√7
  • 5/√3
Maths-Algebra 10.Type