Updated on 18/02/26 by Mananjay MahatoShare on WhatsApp

5T

solve ?

  • 79
  • 87
  • 81
  • 77

solve ?

  • 423
  • 432
  • 441
  • 414

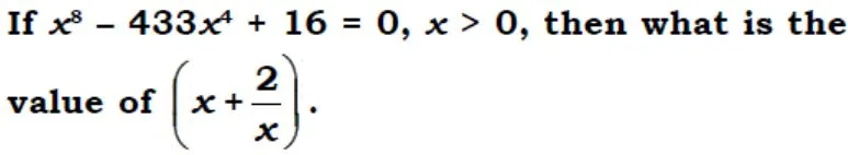
solve ?

  • 5
  • 7
  • 4
  • 9

solve ?

solve ?

solve ?

solve ?

solve ?

solve ?

Maths-Algebra 5.Type