Updated on 18/02/26 by Mananjay MahatoShare on WhatsApp

7T

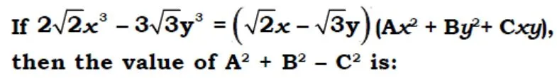
solve ?

  • 0
  • 3
  • 2
  • -4

solve ?

  • 11
  • 10
  • 10.5
  • 8

solve ?

  • 1.552 – 0.55 2
  • 1.553 – 0.553
  • 1.553 + 0.55 3
  • 1.552 + 0.55 2

solve ?

  • 75
  • 70
  • 72
  • 77

  • 7
  • 11
  • 19
  • 10
Maths-Algebra 7.Type