Updated on 18/02/26 by Mananjay MahatoShare on WhatsApp

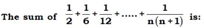
Type 5

  • 1/23
  • 1/22
  • 1/3
  • 1/2

  • n/(n+1)
  • (n+1)/n
  • n(n+1)/2
  • 2n/(n+1)

simplify ?

  • 70/891
  • 69/891
  • 72/891
  • 71/790

simplify ?

  • 100/101
  • 99/101
  • 101/102
  • 99/100

simplify ?

  • 4949/19800
  • 1980/49490
  • 9898/19800
  • 1980/47490
Maths Simplification Type – 5